新聞中心
行業新聞
中科宇杰支招:如何計算異步電動機的電能損耗
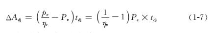
異步電動機在運行中,從電源吸取功率 P1,從 轉軸上輸出機械功率 P2;但是P2總是小于P1,這表明電動機在運行中有一部分功率被損耗了。電動機的損耗有鐵損耗、銅損耗、機械損耗等。電動機的功率損耗和電能損耗是以熱能的形式散失于周圍的空氣中的,電動機在運行中溫度升高而發熱就是這個緣故。三相異步電動機在額定負載下的電能損耗按下式計算:

?
因為三相異步電動機的額定電流Ie為

?
所以,三相異步電動機在額定負載下的電能損耗計算式可簡化為

?
式中 Ue———三相異步電動機的額定電壓;
tdj———異步電動機的實際運行時間;
P1、ΔPdj———電動機的電源輸入功率、功率損耗;P2———電動機的輸出功率,即實際負載功率; Pe———電動機的輸出功率,即額定輸出功率; cosφ———電動機的額定負荷功率因數;
ηe———電動機額定效率。
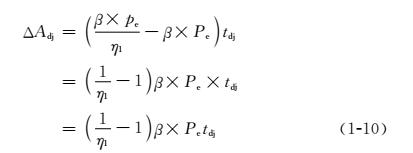
三相異步電動機在任意負載下的電能損耗按下式計算:

?
因為三相異步電動機在任意負載下的電流I1為

?
所以,三相異步電動機在任意負載下的電能損耗計算式可簡化為

?
式中 I1———電動機在任意負載下的負荷電流;
cosφ1———電動機在任意負載下的功率因數; η1———電動機在任意負載下的效率; β———電動機的負載系數 (即負載率)。
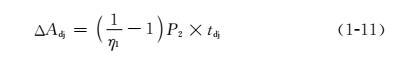
因β=P2/Pe,為此,三相異步電動機 在任意負載下的電能損耗的計算式還可簡化為

?
三相異步電動機的負載率與功率因數、效率、功率損耗的關系見表1-1。

?
由表1-1可見,三相異步電動機在額定負載下功率因數最高(約為0.89),并隨著負載系數的減小而降低;空載時功率因數降到0.2左右。而其效率在75負載下最高(約為88 ),也隨著負載系數的減小而降低,空載時為零。而電功率損耗率在75負載下也相應地最低(約為12 ),并隨著負載系數的減小而升高,空載時為無限大。
摘自:電動機變頻節電380問
